Autor:
Logaritmická nerovnice
Logaritmické rovnice se řeší velmi podobným způsobem jako logaritmické rovnice, proto vám doporučuji si nastudovat materiál Logaritmická rovnice, který naleznete na www.nasprtej.cz.
Abychom mohli vyřešit logaritmickou nerovnici, tak potřebujeme, aby na obou stranách nerovnice byly logaritmy o stejném základu. V našem případě toho docílíme tak, že použijeme znalosti o logaritmech (loga 1 = 0). Pomocí tohoto vzorečku můžeme nulu převést na logaritmus o libovolném základu (základ dáme vždy stejný, jako je na druhé straně nerovnice) s argumentem jedna. Následně když máme na obou stranách nerovnice logaritmy o stejném základu, tak můžeme porovnat navzájem jejich argumenty. Pozor! Ted přichází velmi důležitý krok! Musíme se rozhodnou, jaká nerovnost bude platit (zobáček doprava nebo doleva). Pokud bude základ logaritmu větší než jedna, pak znaménko nerovnosti zůstává stejné, tedy jen ho opíšeme, jestliže ale bude základ menší než jedna, pak musíme znaménko nerovnosti obrátit.

Následně nám vyjde rovnice, kterou už lze vypočítat bez použití logaritmů. Když dostaneme požadovaný interval, tedy že x musí být větší nebo menší než nějaké číslo, tak musíme ještě určit podmínku.

Podmínka
Podmínka je velmi důležitá, jelikož často mění celkové řešení nerovnice. Určíme ji tam, kde se nachází neznámá, tedy v našem případě z argumentu logaritmu. Zde víme, že musí být číslo pouze kladné.

Když zjistíme podmínku, tak ji sjednotíme s výsledkem, který nám předtím vyšel. Celkovým řešením této nerovnice bude to, co mají oba dva intervaly společného – viz osa níže.

Výsledek nerovnice zapisujeme ve tvaru – K = {a ∪ b} – kde místo a a b dosadíme výsledné intervaly nerovnice.

Opět nejdříve potřebujeme, aby na obou stranách nerovnice byly logaritmy o stejném základu. To provedeme tak, že číslo nula můžeme zapsat jako logaritmus o libovolném základu z jedné. Základ logaritmu dáme stejný jako na druhé straně nerovnice. Pokud máme na obou stranách nerovnice logaritmy se stejným základem, tak můžeme porovnat jejich argumenty.

Zde je velmi důležité určit, jaké bude znaménko nerovnosti! Pokud bude základ logaritmu větší než jedna, pak znaménko zůstává stejné, ale pokud je základ menší než jedna, pak musíme znaménko nerovnosti otočit. Poté dostaneme kvadratickou nerovnici, kterou vyřešíme dosazením do vzorečku kvadratické rovnice.

Výsledné kořeny zakreslíme na osu (jsou tam prázdná kolečka, protože v nerovnici je pouze znaménko nerovnosti bez rovnítka), čímž se nám osa rozdělila na tři intervaly. My potřebujeme zjistit, které intervaly jsou platné. Nejrychleji to určíme tak, že z každého intervalu dosadíme libovolné číslo do kvadratické nerovnice výše, a pokud bude platit nerovnost, pak tam daný interval patří – viz osa níže.

Podmínka
Nakonec ještě musíme určit podmínku neznámé, která je v argumentu logaritmu. Celý argument musí být větší než nula, tudíž nám vznikne kvadratická nerovnice, kterou vyřešíme stejným způsobem jako tu výše. Určíme nulové body, zakreslíme je na osu, poté ze všech tří intervalů dosadíme libovolné číslo do nerovnice, pokud bude platit nerovnost, tak tam daný interval patří, jestliže nebude nerovnost platit, tak tam nepatří – viz osa níže.

Celkovým řešením nerovnice bude průnik (vše, co mají společné) veškerých intervalů, tedy interval výsledku a podmínky – viz osa níže.

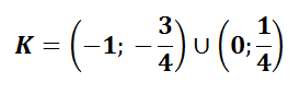
Výsledek nerovnice zapisujeme ve tvaru – K = {a ∪ b} – kde místo a a b dosadíme výsledné intervaly nerovnice.

Nejdříve dáme obě strany na logaritmy se stejným základem, poté porovnáme jejich argumenty a určíme, zda změníme znaménko nerovnosti. Znaménko otočíme, jelikož je základ argumentu menší než jedna. Poté dostaneme nerovnici, kde se nachází neznámá ve jmenovateli. Celou nerovnici NEmůžeme vynásobit jmenovatelem, jelikož nevíme, zda je jmenovatel kladný čí záporný (kdyby byl záporný, museli bychom otočit znaménko nerovnosti).

Proto přesuneme vše, co je na druhé straně od zlomku na protější stranu, následně dáme na společný jmenovatel a upravíme. Pak určíme nulové body zlomku. Nalezené body zakreslíme na osu, čímž se nám osa rozdělila na tři části (intervaly). Z každého intervalu dosadíme do nerovnice, a pokud bude nerovnost platit, tak tam daný interval patří, pokud nerovnost platit nebude, tak tam interval nepatří. Plné či prázdné kolečko u nulových bodů určíme tak, že se podíváme na znaménko nerovnosti. Pokud se u znaménka nachází i rovnítko, tak budou kolečka plná. Ještě je důležité se podívat na samotný zlomek a zkontrolovat, zda se tam nenachází nějaká podmínka především ve jmenovateli. Zde je podmínka, že x se nesmí rovnat 2, protože jinak by byla ve jmenovateli nula, což být nemůže, protože nulou dělit nelze! Proto je u čísla prázdné kolečko, což značí, že tam daný bod nepatří – viz osa níže

Podmínka
Nakonec musíme ještě určit podmínky u neznámé, která je v našem případě v argumentu logaritmu. Zde nesmí být argument záporný. Vyjde nám opět nerovnice s neznámou ve jmenovateli, opět vše, co je na druhé straně od zlomku přesuneme na opačnou stranu a dáme na společného jmenovatele. V tomto případě už na druhé straně nula je, takže není potřeba nic upravovat, a tudíž můžeme rovnou určit nulové body zlomku, které zakreslíme na osu. Následně určíme, který interval patří do řešení podmínky tak, že z každého intervalu dosadíme do nerovnice podmínky a pokud bude nerovnost platit, tak tam daný interval patří, pokud nebude platit, tak tam interval nepatří – viz osa níže.

Do celkového řešení logaritmické nerovnice bude patřit to, co mají všechny výsledné intervaly společného, tedy uděláme průnik intervalů – viz osa níže.

Výsledek nerovnice zapisujeme ve tvaru – K = {a ∪ b} – kde místo a a b dosadíme výsledné intervaly nerovnice.

Příklady použity z:
PETÁKOVÁ, Jindra. Matematika: příprava k maturitě a k přijímacím zkouškám na vysoké školy. 1. vyd. Praha: Prometheus, 1998, 303 s. Učebnice pro střední školy (Prometheus). ISBN 80-719-6099-3.

Super
Super parádní stránka konečně to chápu díky.
:)
To jsme moc rádi! Též děkujeme
Matematika
Dobrý den, potřebovala bych pomoct s těmito příklady:
a) log24 (x+1) - 9 > 0
b) log x * log(x+1) je menší nebo rovno 0
c) log20,5 x +log0,5 x - 2 je menší nebo rovno 0
d) absolutní hodnota a v ní zlomek v čitateli 2log0,5 x+8,jmenovatel 4 konec absolutní hodnoty < 3
Děkuju
Děkuji , je to pěkně napsané
Děkuji , je to pěkně napsané a ideálně se to hodí na rychlé opáčko :)
Poslat nový komentář